
《关于建立健全生态产品价值实现机制的意见》 学习问答(一):
 
  
   
    
     编者按
     近期两办出台的《关于建立健全生态产品价值实现机制的意见》吹响了深入推进建设生态产品价值实现机制的号角,指明了践行生态产品价值实现理念的路径和方向。
     生态产品价值实现机制是一项涉及经济社会和生态环境方方面面的复杂系统工程。各行各业包括党政、企业干部和科研人员在贯彻落实文件精神过程中,或多或少会存在一些问题和困惑。近期,我们将以连载的形式将学习两办文件的体会以问答形式发布,力争在一定程度上起到解疑释惑的作用。本期为生态产品知识学习问答的第一期,主要探讨了生态产品价值与GEP的关系及其应用。
    
    
   
  
 

摄影|张林波
 【问】两办文件提出“建立生态产品价值评价机制”, 
 生态产品价值(EPV)与生态系统生产总值(GEP) 
 是一回事吗?在实际工作中如何应用生态产品价值和GEP这两个概念?
在学术领域,生态系统生产总值(Gross Ecosystem Product,GEP)是一个与生态产品价值(Ecosystem Product Value,EPV)相似的概念,其内涵通俗易懂、广为人知,容易被大众理解和接受。为什么两办不采用GEP核算概念,而是提出“建立生态产品价值评价机制”?
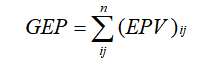
众所周知,生态系统生产总值是指特定区域内生态系统为人类社会提供的所有生态产品和服务的价值总和,而生态产品价值是指某种特定生态产品或某个特定部分区域的生态产品的价值。生态系统生产总值与生态产品价值概念是总和与部分的关系。两者之间的关系类似于GDP与一、二、三次产业增加值之间的关系。GEP是一个行政区域内所有生态系统生产出的所有生态产品价值的总和,对应于国民经济核算中的GDP,而生态产品价值则类似于国民经济核算中的各个部门的经济增加值。
在理论上,生态系统生产总值与生态产品价值之间的关系可以表达为以下公式:

 在语境上,生态系统生产总值(GEP)只特定用于表述一个完整行政区域内全部生态产品价值的总和,例如青岛市生态系统生产总值,山东省生态系统生产总值。而生态产品价值只对应于表述非行政区域、特定生态系统或某类生态产品,例如森林生态产品价值、湿地生态产品价值,或三江源生态产品价值、物质供给类生态产品价值。